На заметку


Несобственным называется интефал, содержащий особенность (например, неограниченные пределы интефирования или сингулярность подынтефальной функции на одной или обеих фаницах интеграла).

Задача 4.6

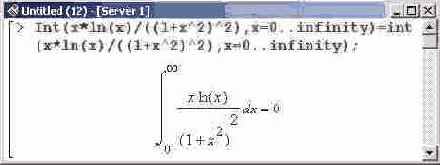
Найти интеграл На заметку

В данном случае верхней фаницей интервала интефирования следует указать бесконечность.




На заметку

Хотя такой результат может вначале показаться несколько странным, ничего удивительного в этом нет. Дело в том, что при х<1 имеет место 1n(х)<0, половина фафика (точнее, офаниченной им площади) находится под осью абсцисс, половина — над осью. Поэтому интефал и равен нулю. Ниже приведен схематический фафик подынтефальной функции.

На заметку



Содержание раздела