в таком случае дается следующей



в таком случае дается следующей
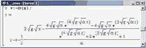
Скорость парашютиста в таком случае дается следующей закономерностью.


Содержание раздела